2026 Software Testing Trends: The Shift from Scripted to Agentic AI
Last Updated: March 23rd 2026
Ready to stop clicking and start architecting? Register for a free trial today!
Table of Contents
The $112 Billion Watershed: A Market in Hyper-Expansion
As we navigate through 2026, the software testing landscape has officially shifted from a peripheral “support” function to a primary engine of business resilience. What was once a $55.8 billion market in 2024 is on an aggressive trajectory to reach $112.5 billion by 2034.
This isn’t just a quantitative increase; it’s a structural transformation. We are seeing a definitive reallocation of capital toward automation-led segments (14.5% CAGR) and IoT testing (31.1% CAGR). Large enterprises now allocate over 25% of their total IT budgets specifically to quality efforts, with the BFSI (Banking, Financial Services, and Insurance) sector leading the demand as it attempts to mitigate the existential risks of service failure in an increasingly digital economy.
The Agentic Paradigm: TuringBots and the Death of the “Flaky Tax”
By 2026, AI is no longer a experimental “nice-to-have.” It is a standard operational partner. The industry has moved beyond scripted automation, which historically plateaued at 25% coverage, into Agentic Orchestration.
The rise of “TuringBots” (autonomous agents) has collapsed traditional testing cycles from days to approximately 2 hours. Unlike legacy tools, these systems don’t just follow a script; they possess Agentic Intelligence. They can review code changes, self-heal brittle scripts, and make day-to-day execution decisions with minimal human intervention.
Key Performance Gains:
- Productivity: Organizations embedding GenAI report a 40% increase in test coverage and a 10x improvement in overall productivity.
- Maintenance Reduction: Self-healing scripts have demonstrated a 95% reduction in manual maintenance.
- Defect Detection: In regulated sectors, AI-native platforms have led to a 90% improvement in pre-production defect detection.
Integrated Quality Loops: Dissolving the Barriers of Shift-Left and Shift-Right
The historical silos between “Shift-Left” (testing early in development) and “Shift-Right” (testing in production) have dissolved into a single, continuous Integrated Quality Loop.
In 2026, 86% of organizations report that testing teams have a decisive voice in release readiness. The focus has moved from simple validation to Continuous Experience Intelligence. By analyzing real-world production telemetry, used by 94% of firms, QA systems now “evaluate behavior” rather than just “checking correctness.”
Strategy | Implementation Standard (2026) | Strategic Value |
Shift-Left | Contract Testing & TDD | Validates interfaces early; 26% BDD adoption. |
Shift-Right | Canary Deployments | Automated rollbacks based on real-time health. |
DevSecOps | Zero-Trust Pipelines | Security checks integrated into daily CI/CD. |
Technical Frontiers: Synthetic Data and the Microservices Crisis
The shift toward microservices has introduced a “testing crisis.” Distributed systems communicate through complex webs where a single request may touch dozens of services, making traditional end-to-end (E2E) tests slow and expensive.
To solve this, 2026 has seen the rise of Synthetic Data Generation. By creating data that mirrors real-world distributions without exposing PII (Personally Identifiable Information), teams can reduce test data preparation costs by 70%.
Furthermore, Chaos Engineering has become standard practice. Instead of waiting for failures, teams proactively simulate network latency and pod crashes in staging environments to ensure system resilience. Contract Testing now independently validates service interfaces, reducing environment complexity by over 80%.
The “Professionalism Premium”: Talent in the Era of the SDET
The role of the “Manual Tester” has largely evaporated, replaced by the Quality Architect and the Software Development Engineer in Test (SDET). While there is a “Panic Majority” (65.6%) concerned about job security, the data suggests a different story: those who embrace AI report significantly lower job anxiety.
We are seeing a Professionalism Premium, where strategic skills command massive salary increases:
- Communication Skills: +36.1% premium.
- Risk Assessment: +10.6% premium.
- Leadership: +7.7% premium.
Conversely, basic automation scripting is being devalued (-13.8%) as AI takes over the execution grind. The human value in 2026 lies in exploratory testing, UX empathy, and ethical auditing.
Green QA: Sustainability as a Performance Metric
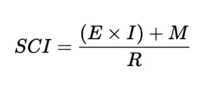
Sustainability is no longer a corporate afterthought; it is a core performance metric. Testing pipelines in 2026 are being optimized for energy consumption using the Software Carbon Intensity (SCI) score.
The SCI score is calculated as follows:
Where:
- E = Energy consumed by the software system.
- I = Location-based marginal carbon intensity.
- M = Embodied emissions of the hardware.
- R = Functional unit (e.g., per test run or per user).
Teams are now implementing Carbon-Aware Scheduling, deferring non-urgent, heavy regression suites to times when the power grid is utilizing the most renewable energy.
Global Regulation: The Legal Responsibility of QA
With the full enforcement of the EU AI Act (August 2026) and the Colorado AI Act, QA has moved into the legal department. “Algorithmic Accountability” is now a requirement.
QA teams are now responsible for:
- Bias and Accuracy Testing: Ensuring AI models don’t produce discriminatory outputs.
- Hallucination Detection: Fact-checking Generative AI to prevent factual errors in customer-facing models.
- Zero-Trust Security: Integrating security directly into the daily pipeline to protect against increasingly sophisticated cyber threats.
Strategic Synthesis: Building a System of Confidence
The future of testing is the transformation of QA into a System of Confidence. We have escaped the “Test Factory” model in favor of a sophisticated “Judgment Role.” By embedding quality, security, and sustainability into every commit, the modern enterprise can navigate the complexity of AI-driven development with the agility required to survive.
Efficiency is no longer optional; it is a mandatory quality attribute.
Frequently Asked Questions
What is the “AI Paradox” in software testing?
The AI Paradox refers to the high adoption rate of AI tools (over 76%) coupled with significant anxiety among professionals who have not yet integrated the technology. Data shows that those who use AI are 17% less anxious about their job security than those who don’t.
How does “Green QA” actually save money?
Beyond environmental impact, Green QA focuses on efficiency. By right-sizing instances, reducing “vampire power” from idle runners, and using the “Smallest Effective Test Set,” companies significantly reduce their monthly cloud and compute bills.
What is the difference between a TuringBot and traditional automation?
Traditional automation follows a static script (Click A, then B). A TuringBot is an autonomous agent that understands intent. It can navigate a UI, self-heal if the DOM changes, and make decisions on how to complete a “mission” (e.g., “Verify the checkout works”) without step-by-step instructions.
Why is synthetic data becoming the standard?
Synthetic data allows for privacy compliance (GDPR) while reducing data preparation costs by 70%. It enables teams to test high-risk scenarios and edge cases that are difficult to replicate with real production data.
RECENT POSTS
Guides

How To Select a Regression Testing Automation Tool For Web Applications
Regression testing is an essential component in a web application development cycle. However, it’s often a time-consuming and tedious task in the QA process.

Switching from Manual to Automated QA Testing
Do you or your team currently test manually and trying to break into test automation? In this article, we outline how can small QA teams make transition from manual to codeless testing to full fledged automated testing.

Why you can’t ignore test planning in agile?
An agile development process seems too dynamic to have a test plan. Most organisations with agile, specially startups, don’t take the documented approach for testing. So, are they losing on something?

Challenges of testing Single Page Applications with Selenium
Single-page web applications are popular for their ability to improve the user experience. Except, test automation for Single-page apps can be difficult and time-consuming. We’ll discuss how you can have a steady quality control without burning time and effort.

Why is Codeless Test Automation better than Conventional Test Automation?
Testing is important for quality user experience. Being an integral part of Software Development Life Cycle (SDLC), it is necessary that testing has speed, efficiency and flexibility. But in agile development methodology, testing could be mechanical, routine and time-consuming.